23+ Smart Plant Instrumentation
Smartplant Enterprise Integration P Id Examples

Capillary Vibrating Sharp Edge Spray Ionization Augments Field Free Ionization Techniques To Promote Conformer Preservation In The Gas Phase For Intractable Biomolecular Ions The Journal Of Physical Chemistry B
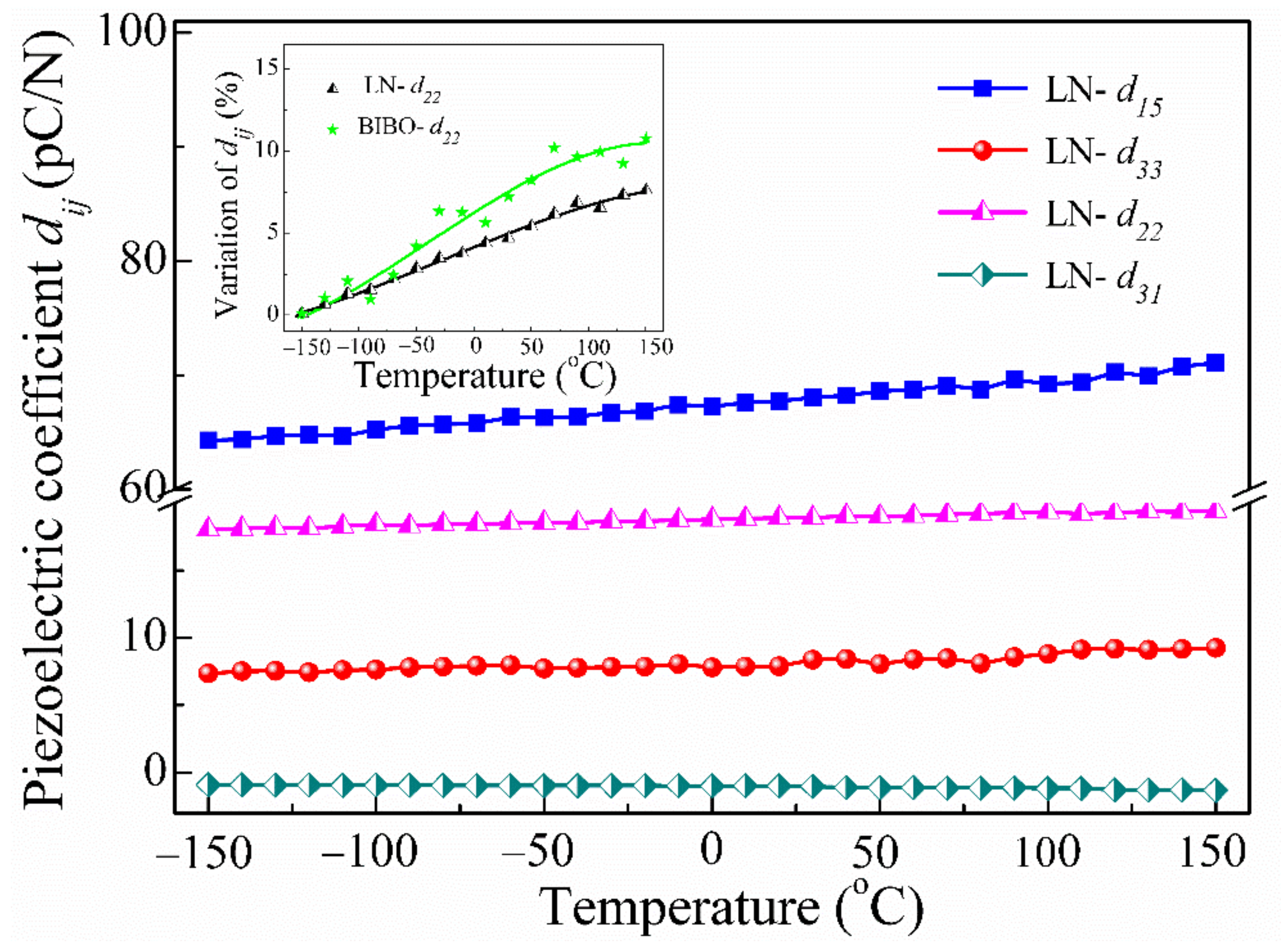
Applied Sciences Free Full Text Investigation Of Electro Elastic Properties For Ln Single Crystals At Low Temperature
Energies Free Full Text A Comparison Of The Geochemical And Stable Carbon Isotopic Characteristics Of Extracts Obtained From Source Rocks Using Different Solvents
Import Utility Smartplant Instrumentation Intools Youtube
Smart Plant Instrumentation Topics And Modules That Can Be Worked Out In The Spi Integraph Software An Overview Without Any Descriptive Narration
What Is Smart Plant Instrumentation Spi Intools Pdf
Intergraph Smart Instrumentation Hexagon
Smartplant Instrumentation Tutorial
Intergraph Products Smartplant P Id Design Validation
Intergraph Smart Instrumentation Hexagon
What Is Smart Plant Instrumentation Spi And Modules Instrumentation Design Spi Epc Oilandgas Youtube
Integrated Control Systems Pdf Scada Instrumentation
Process Information Process Module In Smart Plant Instrumentation Youtube
Software Facebook
Gesteinsperspektiven 06 21
Intergraph Products Smartplant P Id Design Validation
Process Information Process Module In Smart Plant Instrumentation Youtube